Lectura: 6–7 min · AÑO PUBLICACIÓN 2024

Cuando creer que ayuda… explica parte del “efecto

¿Cuánto de esa mejora se debe a la sustancia y cuánto a la expectativa?

La microdosis se ha popularizado como una forma “suave” de mejorar ánimo y rendimiento sin una experiencia psicodélica intensa.

Este estudio de Scientific Reports (2021) siguió durante cuatro semanas a personas que ya planeaban microdosificar y midió cambios en bienestar, ansiedad y síntomas depresivos antes, durante y después. La conclusión es tan interesante como incómoda para el hype: sí, los indicadores mejoraron, pero las expectativas positivas al inicio predijeron buena parte de esos cambios. Es decir, el “contexto mental” no es un detalle; puede ser un motor del resultado.

Qué investigaron exactamente

El diseño fue prospectivo y naturalista: el equipo no asignó dosis ni sustancias, y siguió a voluntarios que iban a empezar microdosis por su cuenta. De 316 inscritos, 253 completaron la línea base y 81 llegaron al punto final principal; para los análisis semanales completos se trabajó con quienes completaron todas las mediciones principales (N=68).

La muestra planeaba mayoritariamente microdosificar psilocibina (≈48%) o LSD/análogos (≈42%). Midieron bienestar con WEMWBS, depresión con QIDS-SR16 y ansiedad-estado con STAI-6. Y, clave: midieron expectativas al inicio con ítems tipo VAS basados en el Credibility/Expectancy Questionnaire.

Tabla 1 — Los datos base y la evolución semana a semana

Qué encontraron (lo importante, en claro)

En el punto final (4 semanas), el grupo que completó todos los tiempos mostró:

  • Más bienestar

  • Menos ansiedad-estado

  • Menos síntomas depresivos

  • Y mejoras en variables secundarias (resiliencia, conexión social, relación con la naturaleza y rasgos como estabilidad emocional), tratadas por los autores como exploratorias.

Hasta aquí, encajaría con muchas anécdotas sobre microdosis. Pero aquí viene la pieza clave: las expectativas positivas medidas al inicio se asociaron de forma significativa con la mejora posterior en bienestar, depresión y ansiedad. En otras palabras, el estudio sugiere un componente importante de respuesta placebo o “placebo potenciado”.

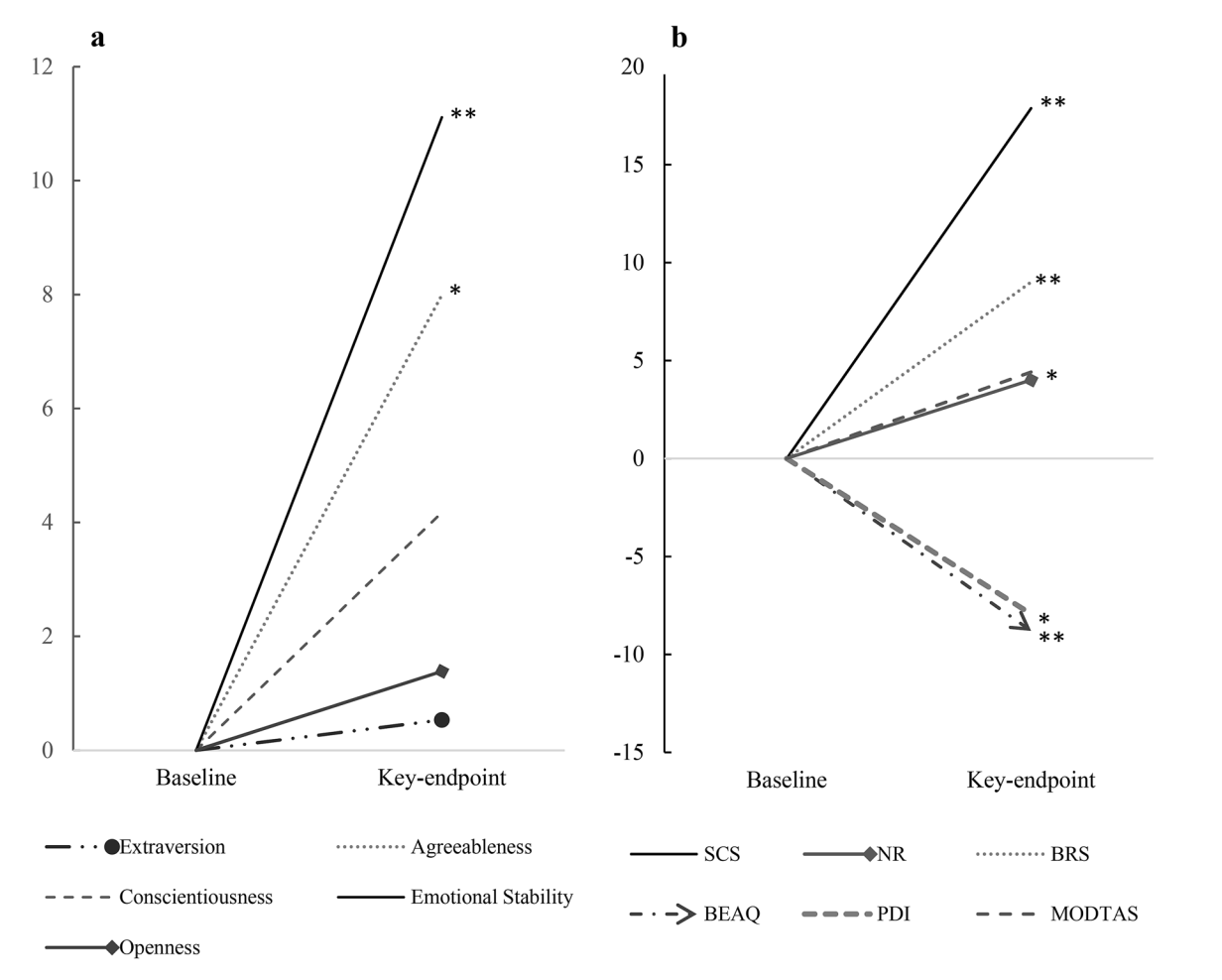
Figura 1 — El patrón de cambio en bienestar, ansiedad y depresión

Figura 2 — Cambios secundarios: personalidad y variables de “conexión”

Tabla 2 — Resultados exploratorios (resumen estadístico)

Qué significa (y qué no)

Este trabajo no “demuestra” que la microdosis funcione clínicamente. Demuestra algo igual de útil: que en estudios naturalistas sin placebo, la microdosis puede ir acompañada de mejoras autoinformadas, pero las expectativas explican una parte relevante. Esto encaja con el problema que ya han señalado ensayos con placebo: si el cegamiento falla y la gente “adivina” que tomó activo, el contexto puede inflar los resultados.

La lectura responsable es doble:

  1. la microdosis merece investigación seria, y

  2. cualquier afirmación terapéutica debe incluir el papel del placebo, el sesgo de selección y la regresión a la media.

Fuentes y cómo se elaboró

Artículo basado en Kaertner et al. (2021), Scientific Reports: “Positive expectations predict improved mental-health outcomes linked to psychedelic microdosing”. Se revisó el PDF completo y se extrajeron Tabla 1, Figura 1, Figura 2 y Tabla 2 para su inserción en web.

Glosario enlazado

  • WEMWBS: escala de bienestar mental (14 ítems).

  • QIDS-SR16: autoinforme de síntomas depresivos (16 ítems).

  • STAI-6: versión corta de ansiedad-estado.

  • Expectativa (placebo): creencia sobre el efecto esperado que puede influir en el resultado.

  • TIPI: inventario breve de personalidad (Big Five).

  • Cohen’s d: tamaño de efecto estandarizado.

Aviso: Este contenido es educativo. No promueve el uso donde sea ilegal ni sustituye consejo médico o psicológico profesional.

Siguiente
Siguiente

Microdosis de plantas maestras: qué propone Federico Infante y qué exige un uso responsable